比特派钱包2025官网下载:bit114.app,bit115.app,btp1.app,btp2.app,btp3.app,btbtptptpie.tu5223.cn
当前加密货币市场中新发行货币及市值较小的代币,流动性问题日益突出,成为一大挑战。然而,Bancor的问世似乎为这一困境带来了转机。这能否真正解决这些问题?我们不妨深入探究一番。
市场长尾现象
在加密数字市场,长尾效应明显。前10%的代币,其市值占了95%,交易量占了99%,数字令人咋舌。众多新出或市值偏小的代币,在这个市场里流动困难,生存不易。市场两端差距越来越大。
新推出的许多代币交易双方不足,难以有所发展,与领先代币的差距逐渐扩大,若持续如此,这些代币或许会被市场所淘汰。
Bancor设计方案
Bancor的设计理念可以为那些流动性不足的代币提供一个交易的平台。它利用智能合约充当做市商的角色,使得用户可以直接与智能合约进行交易。这种机制通过特定的算法进行实时报价,从而模拟了代币交易的情景。

用户持续购买,币值便上升;反之 https://www.tfboysqq.com,持续抛售,币值便下降。这形成了一个相对独立的交易领域,使得那些一度无人关注的代币得以进行交易。

与传统交易所差异

一般ICO的供应量事先设定,其价格波动受市场需求影响,带有一定的不确定性。但Bancor平台在交易时仅关注智能合约的买卖,不涉及外部市场,这与一般的传统交易所存在显著差异。

在传统交易所,交易双方通过撮合机制成交,价格的形成受到众多因素的制约。然而,Bancor系统跳脱了这一流程,直接通过智能合约进行交易。这种变革虽然开创了新的交易模式,但也随之带来了新的挑战。
滑点交易特性
Bancor平台有滑点交易现象。这个系统本应依据数学公式进行报价,却导致代币缺乏价格支撑。同一笔交易,交易量的大小会影响最终的成交价。

若你打算购买某类代币,购买数量少时价格固定,但一旦购买量增多,价格便会变动,这给投资者带来了额外风险。此外,交易的不可预知性也使得做出投资决定变得更加复杂。
异步流动性表现
智能合约间的交易并非遵循常规的买卖模式,它们可以被视为两个独立进行的、发生在不同时间点、价格也各异的智能合约交易,这种交易方式称为异步流动性。

尽管众多人采用智能合约进行交易,价格虽有波动但幅度有限,然而,由于交易类似独立操作,个人需独自承受因交易量所引发的市场价格变动。不管市场状况如何,个人在交易中往往独自面临较大的价格风险。

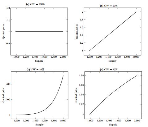
RAM应用隐患
EOS每区块处理速度为0.5秒,系统数据存储于内存,这会导致内存长期被占用。尽管ram使用bancor的中继算法在视觉上似乎能减缓其价格上涨的速度,但一旦系统扩容,ram价格达到上限时的波动将加剧,风险也随之增大。

观察bancor曲线可知,价格波动若想平缓,则需要更高的储备比率。这就要求项目方投入更多资金以供用户兑换,这对项目方来说不利,同时也对EOS生态的稳定发展构成挑战。
大家是否认为Bancor经过优化,能切实解决加密数字市场代币流动性难题?欢迎在评论区发表您的看法。若您觉得这篇文章有价值,请点赞并分享。

比特派钱包2025官网下载:bit114.app,bit115.app,btp1.app,btp2.app,btp3.app,btbtptptpie.tu5223.cn,tokenim.app,bitp2.app